התחברות
הרשמה
כשיש מכפלת פונקציות ויש בה סוגריים בריבוע מה עושים עם הריבוע?
F(x) = (x-3)2(x+1)(x-1) מה אני עושה בסוגריים הראשונים עם הריבוע? פשוט מתעלמת או שצריך לעשות משהו שונה איתו
*(השתיים בפונקציה צריך להיות בריבוע)
1 באוקטובר 2022, 13:16
חשבון
משוואות
שיעורי בית
תרגילים
אלגברה
תשובה אחת
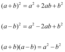
יש את נוסחאות הכפל המקוצר
קישורים מצורפים:
https://s3-eu-west-1.amazonaws.com/ourboox-media-prod/wp-content/uploads/2020/09/10092211/2%D7%A0%D7%95%D7%A1%D7%97%D7%AA-%D7%9B%D7%A4%D7%9C-%D7%9E%D7%A7%D7%95%D7%A6%D7%A81.png
מ
מָאק
באותו הנושא:
היי , מישהו יכול להסביר לי את ההבדל בין פונקציה פולינום לפונקציה מכפלה?
כשיש לי אינטגרל של מכפלת פונקציות ...
מה עושים במשוואות כשיש סוגריים אחרי סוגריים?
מי שמבין משהו בנגזרת של מכפלת שתי פונקציות תכנסו בבקשה
מה הנוסחה של נגזרת של מכפלת 3 פונקציות ?
היי יש לי שאלה כשיש פונקציית שורש מכפלה תמיד הפונקציה לא אי זוגית ולא זוגית?
האם תמיד מתקבלת פונקציה ריבועית ממכפלה של שתי פונקציות קוויות?
עזרה במתמטיקה, חקירת פונקציה המורכבת ממכפלת פונקציות עם פרמטר כיתה י
האם מכפלה של שתי פונקציות ליניאריות *תמיד* נותנת פונקציה ריבועית?
האם ניתן לכתוב כל פונקציה ריבועית כמכפלה של שתי פונקציות לינאריות?
איך עושים אינטגרל של מכפלת פונקציות?