2 תשובות
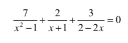
המכנה כתוב בצורה טובה כשאפשר לפתור את התרגיל ככה רגיל
אם לא אז כנראה צריך לעשות מכנה משותף
אם לא אז כנראה צריך לעשות מכנה משותף
אנונימית
אם יש אופציה
תעשה מכנה משותף/טרינום/נוסחאת כפל
בעיקר בתרגילים כאלו
אם יש אופציה ישר עושים
לא משנה מה
זה הצעד הראשון בתרגיל
לפשט את כולו מא' עד ת'
ואז את שאר הדברים כמו ת.ה.
ורק אחרי ת.ה. מ"מ
תעשה מכנה משותף/טרינום/נוסחאת כפל
בעיקר בתרגילים כאלו
אם יש אופציה ישר עושים
לא משנה מה
זה הצעד הראשון בתרגיל
לפשט את כולו מא' עד ת'
ואז את שאר הדברים כמו ת.ה.
ורק אחרי ת.ה. מ"מ
באותו הנושא: