4 תשובות
כל אחת לחוד
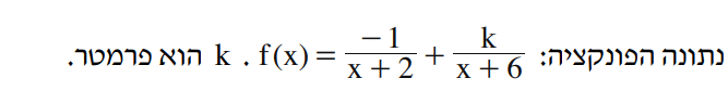
נגזרת נפרדת לכל מנה וחיבור ביניהם, נגזרת של מנה היא הנגזרת של המונה כפול המכנה מינוס המונה כפול הנגזרת של המכנה חלקי המכנה בריבוע
לגזור את הפונקציה במונה ולהכפיל בפונקציה שמופיעה במכנה, אחר כך להחסיר את הנגזרת של הפונקציה שמופיעה במכנה כפול המונה ולחלק במכנה בריבוע
להלן הנגזרת
קישורים מצורפים:
באותו הנושא: